LED based avalanched photodetector: Difference between revisions
| Line 7: | Line 7: | ||
<div style="text-align:center;"> | <div style="text-align:center;"> | ||
[[File:pulse number.png|600px|thumb|Pulse number distribution vs Poisson distribution]] | [[File:pulse number.png|600px|thumb|Fig.1 Pulse number distribution vs Poisson distribution]] | ||
</div> | </div> | ||
Figure 1 measures the average pulse number per 50 ms versus the voltage of the power supply. The linear curve corresponds to the increasing photon number with higher voltage of the light source. | Figure 1 measures the average pulse number per 50 ms versus the voltage of the power supply. The linear curve corresponds to the increasing photon number with higher voltage of the light source. | ||
[[File: | <div style="text-align:center;"> | ||
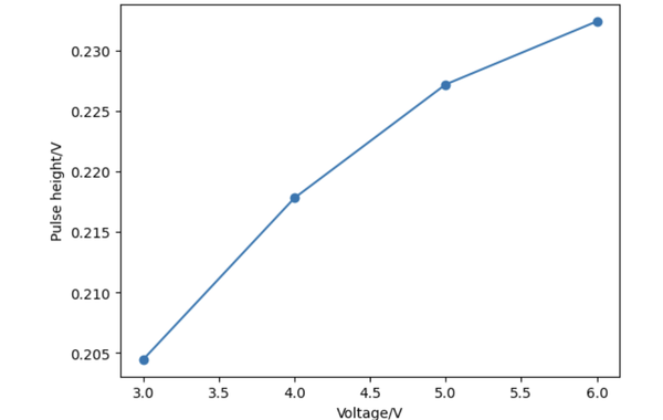
[[File:pulse hight.png|600px|thumb|Fig.2 Pulse number distribution vs Poisson distribution]] | |||
</div> | |||
Figure 2 shows that the pulse height increases with the voltage of the power supply. For a single-photon avalanche photodiode (SAPD), the curve should be flat, meaning each pulse corresponds to one photon. However, when the power supply voltage is doubled, the pulse height increases by 14%, suggesting that each pulse corresponds to several photons. | Figure 2 shows that the pulse height increases with the voltage of the power supply. For a single-photon avalanche photodiode (SAPD), the curve should be flat, meaning each pulse corresponds to one photon. However, when the power supply voltage is doubled, the pulse height increases by 14%, suggesting that each pulse corresponds to several photons. | ||
Revision as of 17:16, 24 April 2025
3. Analysis and Result
Author: Cai Shijie Date: April 2025
The avalanche effect can be observed with the power of the light source around 13 μW. This indicates that the detector is a sensitive APD capable of detecting low photon number densities.
Figure 1 measures the average pulse number per 50 ms versus the voltage of the power supply. The linear curve corresponds to the increasing photon number with higher voltage of the light source.
Figure 2 shows that the pulse height increases with the voltage of the power supply. For a single-photon avalanche photodiode (SAPD), the curve should be flat, meaning each pulse corresponds to one photon. However, when the power supply voltage is doubled, the pulse height increases by 14%, suggesting that each pulse corresponds to several photons.
By setting the photocurrent pulse number per 50 ms as one sample, 1000 or 10,000 samples are used for statistical analysis and compared with the theoretical Poisson distribution, resulting in Figure 3.
Several methods are used to analyze how closely the data match the theoretical model. The Kullback–Leibler (KL) divergence (result: 0.0061), Jensen–Shannon (JS) divergence (result: 0.0366), and Bhattacharyya distance (result: 0.0014) all qualitatively estimate the similarity between the real data and the theoretical Poisson distribution. All results are close to 0, indicating a high degree of similarity between the two distributions.
The Kolmogorov–Smirnov (KS) test is used to obtain a p-value, which is more sensitive than the previous methods. The p-value indicates the probability of observing the test statistic under the assumption that the data follow a Poisson distribution. The p-value obtained is 0.0264, which is smaller than 0.05, thus rejecting the Poisson distribution in this test.
Furthermore, the quantum efficiency (QE) is estimated by 0.245%. The Python, Arduino code, and QE calculation are attached in the appendix.
In conclusion, the LED-based APD cannot fully verify the Poisson distribution of the LED source, as it is not a true single-photon detector.
Appendix
QE Estimation
Given Parameters
- Blue LED optical power:
- Wavelength of blue light:
- Photon energy:
- Photon emission rate:
- Emission duration:
- Distance between LEDs:
- Red LED pn-junction radius:
- Entrance area of the pn-junction:
- Solid angle covered by receiving junction:
- Fraction of photons geometrically intercepted:
- Shell transmission rate at 450 nm (approximate):
- Number of detected photo-pulses:
Photons Reaching the pn-Junction in 50 ms:
Conclusion: Using a realistic pn-junction area and accounting for geometric and spectral filtering factors, the estimated quantum efficiency of the red LED functioning as a photon detector is approximately 0.245%. This aligns with expectations given that LEDs are not optimized for photodetection, especially under off-band excitation (blue light in a red LED).



