Optical Sensor of Magnetic Dynamics: A Balanced-Detection MOKE Magnetometer
Team Members
LI Junxiang E1127462@u.nus.edu
Patricia Breanne Tan SY pb.sy82@u.nus.edu
Idea
We will use a laser-based magneto-optical Kerr effect setup featuring a high-sensitivity differential photodiode array to measure the Kerr rotation angle induced by surface magnetism. This system serves as a versatile optical platform to investigate how external perturbations such as magnetic fields or radiation source alter the magnetic ordering of materials, allowing for the quantitative extraction of the magneto-optical coupling coefficients of various thin films.
Introduction
In 1875. physicist John Kerr discovered the Kerr Effect, a phenomenon wherein the refractive index of a material varies with the application of an electric field. The change in refractive index is described to be directly proportional to the square of the electric field, and may occur either from the initial application of an electric field (Kerr electro-optic effect) or from an electric field proceeding from an incident ray of light (Optical Kerr effect). In addition to these types of Kerr effect, a third exists: the magneto-optical Kerr effect, or MOKE.
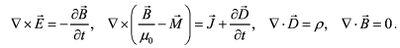
In the MOKE, a magnetized surface causes reflected light beams to vary in its polarization and reflected intensity. We may describe this phenomenon with the use of Maxwell's equations from classical electromagnetic theory:
; ; ;

With the following corresponding boundary conditions:

We assume that no free charges or free currents exist at the interface between the two mediums: an ideal ferromagnetic medium with (Eqn. 1) and a homogeneous linear medium, following the diagram below. With taken as a constant vector, Equation 1 describes the hysteresis loop of a the ferromagnetic medium, which is simply the sum of a permanent magnet and linear magnetic medium.

Fundamentally, the MOKE may be used as a measure of how strongly a material is magnetized, with applications for the effect ranging from materials characterization to Kerr microscopy, where
Experimental Setup

We want to utilize a 658 nm HL6501 red light CW (continuous wavelength) laser (according to the datasheet). Then the laser beam passes through a ND filter to decrease its intensity the first time. Then it will go through a polarizer and a half-wave plate set to make it intensity continuously adjustable and be initially polarized to S polarized or P polarized. Then the incident laser light is focused on the sample by using a lens/objective. Then the reflected signal is detected by using a Wollaston prism as an analyzer to first, splits the incident signal light beam into two orthogonal, linearly polarized beams that diverge from each other. Then use two detectors (balanced detectors) to detect two orthogonal, linear polarized beam intensities. The small Kerr rotation of the polarization by the material's magnetic properties can be calculated by making a substract of two intensities read from the two detecters.
Methods
Results
Conclusion and Discussion
Reference
1. McCord, J. Progress in magnetic domain observation by advanced magneto-optical microscopy. J. Phys. D: Appl. Phys. 48, 333001 (2015).